Рубрики
МЕНЮ
Кречмаровская Наталия
Розміри заробітних плат членів наглядових рад державних підприємств шокуючі. Між мінімальною зарплатою, встановленою в Україні, та реальними виплатами “наглядачам” — прірва.

Гроші. Ілюстративне фото
Народна депутатка України Анна Скороход оприлюднила розміри заробітних плат членів наглядових рад деяких акціонерних товариств.
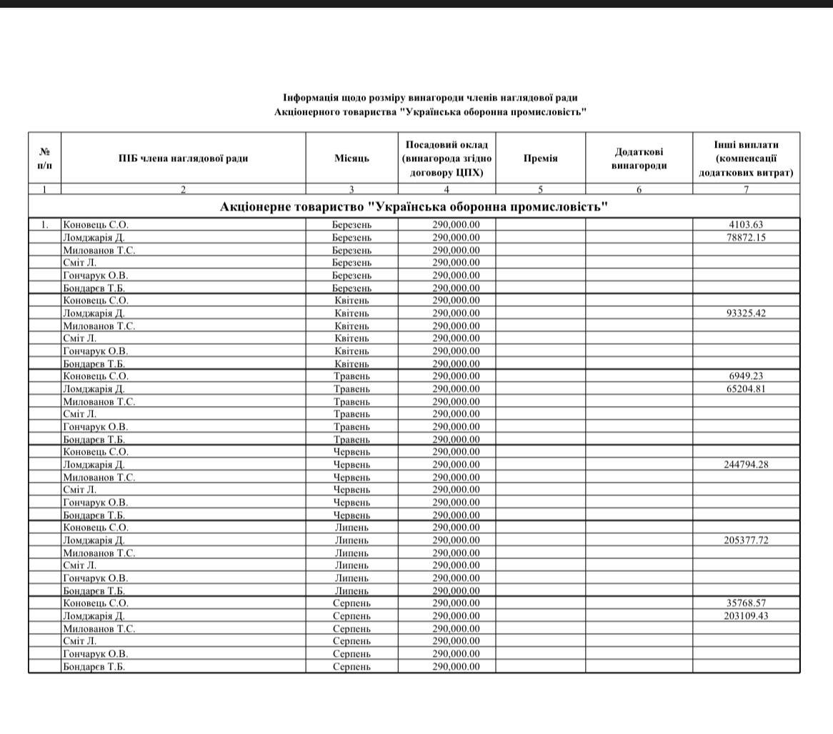
Так, в АТ “Українська оборонна промисловість” 6 членів наглядової ради — заробітна плата кожного стала — 290 тис. грн в місяць. Однак ще додатково виплачують надбавки, компенсації — не кожному і не кожного місяця.

В “Укрпошті” зарплати трохи менші — 165 тис. грн на місяць. І зарплату отримують не всі члени наглядової ради — четверо із шести.

В “Укрзалізниці” зарплати понад 1 млн грн — 1 118 649 грн. Таку суму щомісяця отримує кожен із шести членів наглядової ради.

Під дописом народної депутатки читачі не добирають слів — обурюються розміром заробітних плат. Залишали наступні коментарі:
Також українці цікавляться, що саме зробили члени наглядових рад — за що отримують такі зарплати.
Нагадаємо: портал “Коментарі” писав, які зарплати у членів наглядових рад оборонних підприємств.